Ardee City RWA Ardee City RWA
Home The RWA About Ardee City Latest News Circulars for Members Events Guidelines Directory Downloads Photo Gallery

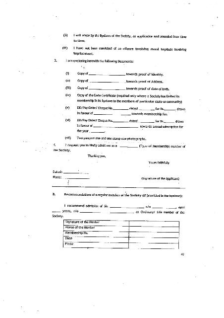
Application Form for Membership of Society - FORM 10

by: Manas Tripathi on December 31, 2013, 11:16 am in Latest News

DOWNLOAD FORM 10 SCANNED IMAGE OR PDF FILE


Contact Member  
Membership Type: Owner   Membership No: 1024   Expiring: 3-2015   Gender: Male
Address: C ... Ardee City
Recent Posts in "Latest News" Section
Audit Report for FY 2024-2025 on April 24, 2026 by General Secretary
Audit Report of RWA Accounts for FY 2024-25 on February 19, 2025 by General Secretary
Audit Report FY2021-22 as adopted by RWA in its annual general body meeting on January 12, 2025 by General Secretary
Audit Report FY2020-21 as adopted by RWA in its annual general body meeting on January 12, 2025 by General Secretary
Audit Report FY -2022-23 As adopted by the AGM in its Meeting on January 12, 2025 by General Secretary
Circular by RO: 2023 RWA Election Schedule for 60 Collegiums on September 1, 2023 by General Secretary
Election Circular by Returning Officer (RO) for RWA Elections on August 28, 2023 by General Secretary
Audited Accounts for FY 2018-19 as adopted in General Body Mtg dated 30.8.2020 on October 18, 2021 by General Secretary
Audit Report FY 2018-19 as adopted in General Body Mtg dated 30.8.2020 on October 18, 2021 by General Secretary
Notification of Governing Body by District Registrar on October 17, 2021 by General Secretary
Welcome Guest!
(Members Area Login)
For queries and comments, write to us at: contact@ardeecityrwa.com

Become New Member

Latest Classifieds
Apartment for Rent...
M.Sc. Maths, Physics...
2 BHK FLAT...
3 Bed Room...
Palm Grove Heights...
Ground Floor Available...
Welspun make rubberised...
Art of Living...
Tutor Availablle 5-8th...
DENTIST...
See All
Latest Feedbacks
Republic day celebrations...
Annual General Meeting...
Renewal of membership...
Janmashtami utsav in...
meeting with town...
sewarage charges...
property tax...
life time membership...
letter and GB...
Cheers to Holi...
See All
Newest Members
Sunil Kumar
Mukul Gupta
Ram Kumar
Debraj Bhattacharyya
Lal Chand
See All
Some Important Details
Security Officer: 9555938468 (Day)
Security Officer: 8010495599 (Night)

Complaint Room: 2385377
Ardee Office: 2386133
See All
About RWA | Contact Us | Terms of Services | Privacy Policy | Voice of India | Consumer Complaints | Dairy Farming
  Copyright © 2009-2026 Ardee City Residents Welfare Association Developed By An Effort By: Vivek Pandey (Axis eConsulting)